首页
政务公开
党的建设
办事服务
互动交流
当前位置:
首页
>
政务公开
>
业务信息公开
>
信访指南
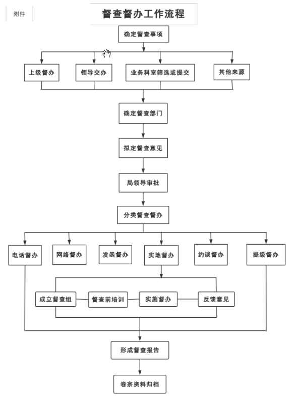
信访事项督查督办流程
发布时间:2023年04月10日
作者:
来源:
乌海市信访局
浏览次数:
【
大
中
小
】
【
打印
】
【
关闭
】
上一条:
下一条: